Everything Scrawl AI Can Render: The Full Capability Showcase
April 7, 2026 · 6 min read
Scrawl AI doesn't just solve homework. It renders step-by-step solutions in realistic handwriting, complete with hand-drawn diagrams, mathematical notation, chemical equations, and more. Every symbol, every graph, every schematic looks like a student wrote it by hand on paper.
This post showcases every type of output Scrawl can produce. If you've ever wondered whether Scrawl can handle your assignment, the answer is almost certainly here.
Hand-Drawn Circuit Diagrams
Scrawl renders full circuit schematics using the same symbols found in EE textbooks: resistors, capacitors, inductors, op-amps, voltage and current sources, transistors, and switches. The diagrams are drawn with natural imperfection so they look sketched by hand, not generated by a computer.
Supported problem types include DC analysis (KVL, KCL, mesh, nodal), AC phasor domain, op-amp circuits, RLC transients, Thevenin and Norton equivalents, and filter design with Bode plots. The AI draws each schematic as part of the solution, integrated directly into the handwritten page.


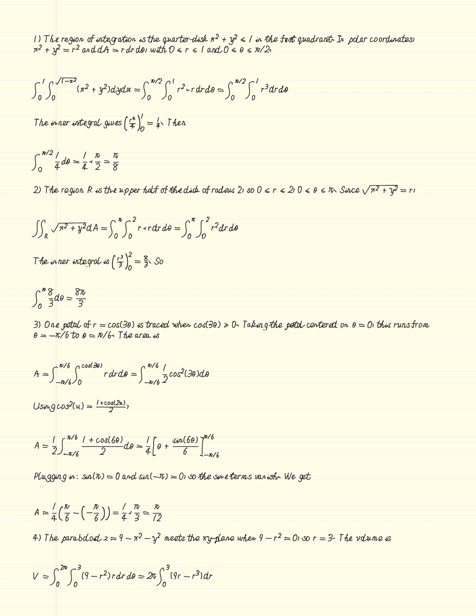
Complex Mathematical Notation
Every mathematical symbol is rendered as a handwritten glyph with natural variation. No two characters look identical. The engine supports the full range of notation you'd encounter in undergraduate and graduate math:
- Integrals: single, double, triple, line, and surface integrals with proper limits
- Matrices and determinants with tall delimiters that span multiple lines
- Nested fractions, including fractions within fractions within integrals
- Summations and products (sigma and pi notation) with index bounds
- Greek letters, both uppercase and lowercase
- Piecewise functions with left braces spanning all cases
- Radicals and nested square roots
- Proof notation: QED symbols, logical quantifiers, set-builder notation


Function Plots and Graphs
Scrawl renders 2D function plots, scatter plots, bar charts, and coordinate geometry with hand-drawn curves. Axes include tick marks, grid lines, labels, and legends. Curves have the same hand-drawn quality as the rest of the page, with natural imperfection that makes them look sketched rather than computer-perfect.
This covers everything from basic trig function graphs in precalculus to phase portraits in differential equations. When the solution requires a visual, the AI draws it inline, integrated with the handwritten explanation around it.
Chemistry
Full support for chemical equations, stoichiometry calculations, equilibrium expressions, and reaction balancing. Mathematical work is shown step by step with proper notation for molar masses, limiting reagents, equilibrium constants, and unit conversions.
Whether it's balancing a redox reaction, calculating percent yield, or solving an ICE table for equilibrium concentrations, Scrawl renders the entire solution in handwriting with correct chemical formulas and subscripts throughout.


Physics with Free Body Diagrams
Mechanics problems come with force vectors, inclined planes, pulley systems, and projectile motion diagrams. The renderer draws free body diagrams with labeled force arrows integrated directly into the handwritten solution, not as separate attachments.
Coverage extends beyond mechanics into E&M (Gauss's law, Ampere's law, circuit problems), thermodynamics (PV diagrams, heat engines), and wave mechanics. Every diagram is generated from the problem context, not pulled from a template library.

Computer Science
Algorithm pseudocode, data structure explanations, and complexity analysis. Code blocks are rendered in a monospace handwriting style that distinguishes them from regular text while maintaining the handwritten look. Indentation, keywords, and variable names are all clearly readable.
This covers sorting algorithms, graph traversals, dynamic programming recurrences, Big-O analysis, and more. The solutions include both the pseudocode and the written explanation of why the algorithm works.

Humanities and Essays
Scrawl is not limited to STEM. It handles AP History DBQs, analytical essays, and long-form written responses spanning multiple pages. Handwritten prose maintains proper paragraph structure, citations, and thesis development throughout.
For students who need to submit handwritten essays, Scrawl produces pages of clean, readable handwriting that flows naturally. The output looks like a student spent an hour writing carefully, not like it was generated by a machine.

The Handwriting Engine
What makes all of this look realistic is Scrawl's variancy system. Every character gets unique rotation, baseline drift, spacing jitter, and scale variation. No two letters are identical, even within the same word. The result is output that looks like a student wrote it, not a printer.
Three handwriting presets are available: Neat, Balanced, and Messy. Each controls how much variation is applied to the glyphs. You can also upload your own handwriting to create a custom font that matches your personal style.
On top of that, you can choose from three backgrounds (blank, lined, and graph paper) and three layouts (compact, standard, and detailed). Every combination works with every subject, so you get consistent, realistic-looking output regardless of what you're solving.
The Full Gallery
Here is every sample in one place. Circuits, calculus, chemistry, physics, computer science, and humanities. Scroll through and see the range of what Scrawl produces from a single photo upload.

Download the full Magnum Opus PDF









Every sample above was generated from a single photo upload. No templates, no copy-pasting, no manual formatting. The AI reads the problem, solves it, and renders the full solution in handwriting.
Try It
Upload any assignment at scrawlai.app or download for iOS and see for yourself. Your first 3 solves are free, no account required. Circuits, calculus, chemistry, essays: whatever your homework throws at you, Scrawl renders it in handwriting. See pricing.

